PROTAC技术,作为一种全新的药物研发策略,具有巨大的发展空间和治疗潜力,已成为近年来炙手可热的研究领域。
4月1日,由亚星游戏官网生物推出的系列专题分享直播——亚星游戏官网医药观第二期已正式上线。亚星游戏官网生物高级副总裁蔡建华博士做客本期直播间,围绕“突破不可成药靶点的PROTAC技术解读”这一主题,系统地介绍了PROTAC的研究进展,并列举多个代表性案例重点阐述了亚星游戏官网生物技术平台在助推PROTAC药物发现进程中的应用。
错过本期直播的小伙伴,登录「腾讯视频/bilibili」搜索“亚星游戏官网医药观”观看视频回放,了解更多精彩内容!
PROTAC解决“不可成药”和“耐药”
传统小分子抑制剂,利用“占据驱动”模式抑制靶蛋白的功能,从而发挥治疗作用。这种模式需要抑制剂具备较高的浓度才能够占据靶点的活性位点,阻断下游信号通路的转导。由于传统小分子抑制剂对蛋白口袋结构的要求或药物结合位点的缺乏,许多关键的致病靶点“不可成药”。
区别于传统的小分子抑制剂,PROTAC(蛋白降解靶向嵌合体)是利用细胞内天然的蛋白降解体系——泛素-蛋白酶体系统(UPS)实现目标蛋白(POI)的靶向降解。
UPS是细胞内蛋白质降解的主要途径,这是一个多步骤反应过程,由多种蛋白质参与其中。目标蛋白先被泛素(多肽)标记,然后被蛋白酶体识别并降解,蛋白降解的泛素化过程主要由泛素活化酶(E1)、泛素结合酶(E2)、泛素连接酶(E3)接力完成。当细胞不需要某些蛋白质时,蛋白质被泛素标记为“可降解”,随后蛋白酶再将其分解为氨基酸和肽链,成为新的蛋白质合成原料。
PROTAC是异双功能的小分子,由3部分组成,一端结合特异性E3泛素连接酶配体,另一端结合POI的特异性配体,以及连接两个配体的Linker。PROTAC分子通过将POI拉近E3泛素连接酶进行泛素化标记,实现UPS系统对靶蛋白的降解。有别于小分子抑制剂,PROTAC药物不起抑制作用,不需要与致病靶点紧密、长时间结合,有望攻克传统药物“不可成药”和“耐药性”难题。
PROTAC的发展与挑战
2001年,Craig Crews教授及合作者在PNAS上发表了一篇突破性文章,这是PROTAC概念的首次正式提出。从首次发表至今,历经20余年的发展与沉淀,PROTAC赛道已经进入快速发展阶段。据不完全统计,目前全球至少有9家公司PROTAC药物进入临床阶段,全球基于PROTAC技术的研发管线逾140条。
随着PROTAC技术发展的日趋成熟,各大药企也竞相布局该领域,并与PROTAC初创公司展开合作。2015-2021期间,全球共有超17笔重磅合作交易完成。特别是近两年,随着PROTAC临床概念验证(POC)完成后,合作开发项目呈大规模增长趋势。
PROTAC领域在快速蓬勃发展的同时,也面临着不少严峻的挑战。蔡建华博士从以下几点指出:1)人基因组编码超过600种E3泛素连接酶,然而目前仅有少数E3连接酶(VHL、CRBN、IAPs和MDM2)用于PROTAC设计,缺乏组织特异性E3连接酶的应用;由于PROTAC药物相对分子质量较大,其溶解性、透膜性及口服性都较差,并且缺乏预测PROTAC化合物PK性质的方法,开发成药性良好的PROTAC分子面临挑战;PROTAC的安全性需要更灵敏的定量蛋白质组学研究手段;开发PROTAC激动剂难度较大,目前可能的方法是通过降解通路中抑制性蛋白来间接实现。
PROTAC药物开发过程中的技术平台
靶点蛋白质表达是小分子药物研发的重要基础,PROTAC分子开发亦是如此,其相关的蛋白生产包括E3泛素连接酶、靶标蛋白及PROTAC-E3连接酶-靶标蛋白三元复合体的生产。蔡建华博士在此介绍,亚星游戏官网生物拥有高效的蛋白表达系统和领先的蛋白晶体结构研究能力,与全球12家光源设施保持长期合作,可确保全年无间断地收集数据。截至2021年年底,亚星游戏官网生物累计向客户交付超过34,000例蛋白结构,研究超过1,800个独立药物靶标,2021年新增研究226个。其中,累计向客户交付约80个PROTAC-E3连接酶-靶标蛋白三元复合结构,为后续进一步优化PROTAC分子结构及机理打下坚实的技术基础。
蔡建华博士还列举了BRD4、Bcl-xl两个靶点的PROTAC分子结构研究合作案例,相关研究分别发表于Journal of Medicinal Chemistry和ACS Chemical Biology。

图:PROTAC-E3连接酶-靶标蛋白三元复合结构研究案例
另外,他介绍,亚星游戏官网生物Assay平台具备从目标蛋白与E3泛素连接酶的结合亲和力、目标蛋白降解能力到PROTAC分子表型功能研究的全流程服务能力,可针对客户PROTAC项目需求提供相应的研究服务。

图:亚星游戏官网PROTAC降解剂研发Assay平台介绍
同时,蔡建华博士列举多个真实案例进行具体阐述。在Assay案例中,PROTAC分子与对应的抑制剂相比,酶抑制活性是下降的,但细胞杀伤能力更强了。

图:PROTAC降解剂Assay案例
另一个案例中,蔡博士对比了HiBiT内源性标记技术与传统WB技术检测PROTAC降解活性的数据,结果表明采用HiBiT内源性标记技术和用传统WB技术测出来的降解活性数据相当,因此,可以应用HiBiT内源性标记技术进行细胞水平的PROTAC分子降解活性的高通量筛选。

图:HiBiT内源性标记技术与传统WB技术方法比较案例
针对PROTAC分子的动力学研究,蔡建华博士介绍了亚星游戏官网生物经典的SPR技术(表面等离子共振),在三元体系动力学研究中,亚星游戏官网团队通过将其中一个蛋白偶联到芯片上,而PROTAC化合物以一定浓度和另一个蛋白混合后,在流动相中流过芯片的实验设计来完成动力学研究,采用该策略,亚星游戏官网团队已经成功完成了多个PROTAC分子动力学研究项目。
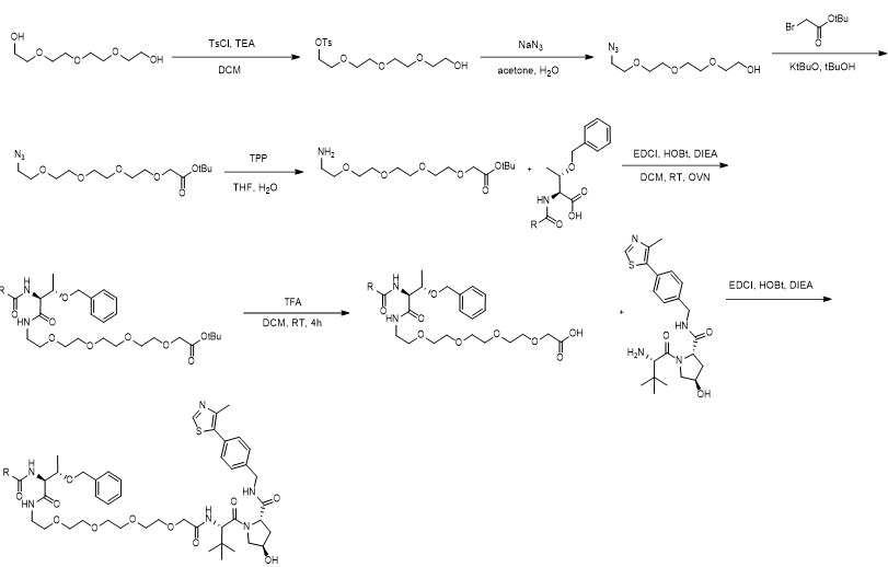
Linker是PROTAC分子的重要组成部分,连接部分的长度和化学成分已被证明会影响PROTAC的、ADME性质及生物活性等。蔡建华博士表示,亚星游戏官网生物拥有成熟的Linker合成经验,并以多个PROTAC分子化学合成案例详细说明。

图:PROTAC分子化学合成案例(一)
图:PROTAC分子化学合成案例(二)

图:PROTAC分子化学合成案例(三)
在PROTAC的DMPK评价方面,蔡建华博士指出目前PROTAC药物的DMPK研究面临很多困难,并列举了潜在可能的困难及其解决方案,他表示,亚星游戏官网DMPK团队在该领域拥有丰富的实践经验,可帮助客户提供专业的PROTAC药物的DMPK评价服务。

图:PROTAC分子DMPK评价常见问题与解决方案
此外,他还介绍了亚星游戏官网的计算机辅助药物设计(CADD)平台在PROTAC分子设计方面采用的新策略,亚星游戏官网CADD团队提出了把文献报道的中CADD设计PROTAC分子的策略与亚星游戏官网自有的增强分子动力学采样技术相结合,进一步提高计算结果的准确性,以帮助设计优化PROTAC分子,从而提高PROTAC分子设计的成功率。
对于创新PROTAC药物的研发,比如开发新一代E3连接酶配体或者新型靶标蛋白结合分子的需求,他在此介绍了亚星游戏官网基于亲和力的筛选方法,包括Crystal soaking、ASMS、SPR等。
另外,分子胶作为PROTAC外的另一种靶向诱导蛋白降解的药物,近年来也备受关注。他诠释了如何基于亚星游戏官网生物亲和力质谱(ASMS)技术实现分子胶的筛选策略。

图:ASMS技术筛选分子胶化合物策略
最后,蔡建华博士总结道,基于亲和力的筛选技术开发创新PROTAC分子,自然离不开化合物库。目前亚星游戏官网已建有多个化合物库:目前拥有含20万个化合物的结构多样化高通量筛选化合物库,主要用于ASMS技术;GPCR集中化合物库,拥有6500个化合物,包括别构和正构化合物,主要用于GPCR药物开发;两个片段化合物库,分别拥有2500个、960个化合物,前者主要用于ASMS技术,后者为高溶解性的化合物库,主要用于Crystal soaking及SPR技术。